The University of Southampton

Integrated Nanophotonics group

News in 2026

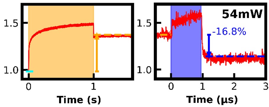
03/2026  We have published the final demonstrator results from a European collaboration with Consorzio C.R.E.O., NIL Technology, BEAMIDE and University of Southampton, showing a large-area demonstrator coating for passive regulation of radiative cooling using smart W:VO2 metasurfaces, the work has appeared in Nanophotonics. Key achievements of this work are (i) achieving a solar absorptance of around 0.2 through a low-emissivity solar reflector, (ii) phase transition around room temperature, (iii) compatibility with space grade flexible substrates and (iv) scalable manufacturing up to 10cm x 10cm through nanoimprint. The technology is production-ready and holds promise as next-generation thermal control solution for ultralight spacecraft and small satellites.

01/2026  Emma Wilcox competed her 8-week placement in our group and won the prize for the best Undergrad Vacation grant student report for 2025. Emma's project examined an optical technique for detecting objects hidden deep inside dense scattering environments, with potential applications in biomedical physics, navigation (driving through fog and rain) and art restoration (revealing hidden paintings).

News in 2025

11/2025 Congratulations to Daniel Lawson for receiving the 2024 best paper award from Optica's Optical Materials Express journal, for our work on optical switching of low-loss phase change material Sb2Se3 with over one million cycles. "The selection committee was particularly impressed by the rigor and thoroughness of this work, as well as its potential technological impact."

10/2025 Our development of infrared metaoptics technology using double-sided deep-UV lithography has appeared in ACS Nano. The work was led by Kai Sun with the support of James Monks at Teledyne Qioptiq.

10/2025 Luke Burke has successfully completed his PhD thesis work on ultrafast mapping in space and time of light transport in dense nanowire mats, the main results were published in the special issue on Light Dynamics in Active and Passive Randomized Media in the journal  APL Photonics.

06/2025 Callum Wheeler has published the main results from his PhD thesis on design of graded multilayers of W-doped VO2 showing high temperature coefficient of resistance over a wide temperature range for infrared bolometer applications. The work has appeared in  iScience.

04/2025 Results from our collaborative project with Louise Hirst at Cambridge University on design of solar cells with integrated light management coating have appeared in Solar RRL. This work is part of our project on Space Based Solar Power funded by the Department of Science Innovation and Technology in the Net Zero Innovation Portfolio.

03/2025 Results from Sophie Blundell, Tom Radford and Idris Ajia on direct write optical programming of low-loss phase change material Sb2Se3 on silicon photonics has been published in ACS Photonics.

02/2025 Tom Radford has investigated a new approach for inverse design using a neural adjoint method, the network was implemented in collaboration with Peter Wiecha at CNRS-LAAS. The work was published in ACS Photonics.

News in 2023

11/2023 Daniel Lawson has completed his studies of fast reversible optical switching of Sb2Se3 phase change materials, which was published as an invited article in the special issue on Reconfigurable Photonic Platforms of Optical Materials Express.

09/2023 The work by Wei Xiao on Ta2O5 based multimaterial stacks for radiative cooling has be published in APL Photonics.

News in 2022

10/2022 Deposition of W-doped VO2 on 200 mm wafer scale and on flexible substrates was demonstrated by Dr Sun Kai using a new atomic layer deposition process, results are published in Advanced Optical Materials.

09/2022 Johnson Singh and Doxi Misatziou have led correlated optical and SEM studies of individual gold-DNA superlattices, results were published in ACS Applied Optical Materials.

08/2022 Peng Dai has led the development of a deep learning cGAN optimization of temperature variable structural colours generated using VO2 thermochromic materials, the work was published in Optical Materials Express.

06/2022 Large-area 200 mm wafer-scale fabrication of metasurfaces using deep-UV scanner lithography was reported in Advanced Optical Materials, the study was led by Dr Kai Sun and with support from Dstl.

04/2022 An experimental demonstration of a visually transparent VO2 metasurface smart radiative cooler for temperature regulation in space and terrestrial applications has been published in Nanophotonics.

04/2022 A review on random laser as open cavity sensors was published in ACS Sensors, the review was led by the team of Dr Wan Maryam Wan Ahmad Kamil at Universiti Sains Malaysia.

03/2022 The studies of time resolved switching of the low-loss phase change material Sb2Se3 led by Daniel Lawson and Ioannis Zeimpekis, has appeared in an invited special issue of the Journal of Optics.

01/2022 A study led by Dr Peter Wiecha at LAAS-CNRS Toulouse on the use of new deep learning methods for evaluating complex metasurfaces by means of dressed polarisabilities has been published in ACS Photonics.

News in 2021

11/2021 Doxi Misatziou and Angela de Fazio have completed an in-depth review on the chemical modification of DNA for assembly of nanoparticles, published in Chemical Society Reviews.

10/2021 We welcome final year MPhys students Ben Glover, Charles Markland-Smith, Harriet Pullen and Rosie Clarke who have started their research projects in our group.

10/2021 Congratulations to Lewis Piper for his publication in Advanced Photonics Research, on the control of THz perfect absorption in a mechanically tunable cavity. The work was done in collaboration with the Surface Emitting Lasers and Terahertz Group under the supervision of Dr Vasilis Apostolopoulos.

09/2021 A collaborative studies of vanadium nitride refractory thin films and metasurfaces with very high solar absorption was published in Optics Express. The work was done in a collaboration with the group of Zhiming Wang at the University of Electronic Science and Technology of China in Chengdu.

07/2021 A detailed experimental and theoretical investigation of picosecond laser-induced switching of single antenna - VO2 hybrids was published in Nanophotonics, in a close collaboration with the Theory of Nanophotonics group of Javier Aizpurua in San Sebastian.

06/2021 We have achieved non-volatile programming of silicon photonic devices by reversible writing of pixel patterns in the low-loss phase change material antimony selenide (Sb2Se3). This work by Matthew Delaney was published in Science Advances and demonstrates the feasibility of these new materials for programmable, rewritable, and tunable silicon photonic circuits.

05/2021 Congratulations to Dr Idris Ajia for his publication in Nano Letters of the studies of gigahertz vibrational modes in SiC dielectric metasurfaces. The work was done in collaboration with the Southampton Centre for Photonic Metamaterials.

05/2021 Collaborative work of Dr Johnson Singh with the BioPhotonics lab of Sumeet Mahajan on the use of photonic nanojets in second harmonic polarization microscopy has been published in Optica.

04/2021  The invited review of deep learning in nanophotonics: inverse design and beyond, led by Peter Wiecha, has been published in Photonics Research.

03/2021 An investigation of upconversion nanoparticle sensors using different 2D materials platforms by Konstantina Angelaki has been published in  Frontiers of Chemical Science and Engineering. The work was done in collaboration with the LICNA group.

02/2021 An improved mid-infrared antenna-assisted integrated bolometer using amorphous silicon by Yangbo Wu has appeared in Optics Letters.

01/2021 Work led by Nic Dinsdale and Peter Wiecha on deep learning enabled design of programmable universal optical elements in silicon photonics has appeared in ACS Photonics.

News in 2020

10/2020 We welcome new group members Sophie Blundell, Luke Burke, Callum Wheeler, Max Tittle and Joshua Greening, who all have started their PhD projects.

07/2020 Matthew Delaney and Dr Ioannis Zeimpekis have developed an ultralow loss optical phase change material for use in programmable nanophotonics, neuromorphic and quantum optical circuits, the results have been published in Advanced Functional Materials, see our press release online.

05/2020 Our work on multiband metasurfaces using local structuring of AZO by plasma oxidation has appeared in Advanced Materials. The experimental study was led by Dr Kai Sun and was supported by Dstl and EPSRC. A press release of our work has appeared online.

04/2020 Work on plasmonic nanodisk resonators has appeared in Nanotechnology led by Shi Zhang from Huigao Duan's laboratory at Hunan University, in an active collaboration supported by the Royal Society and Hunan University.

03/2020 Experimental work using time-reversed light paths in a Sagnac interferometer for imaging through scattering media has appeared in Optics Express. The project was initiated during the sabattical of Otto Muskens at Utrecht University as Debye visiting chair, in collaboration with Prof. Allard Mosk and with finanicial support of Dstl, and was continued by Jesse Dykes during his Master's project.

02/2020 Collaborative work with the Silicon Photonics group on trimming control of critical coupling has appeared in the Journal of Lightwave Technology.

News in 2019

12/2019 Peter Wiecha has published his results on teaching a neural network Maxwell's equations, the work has appeared in Nano Letters. A press release of the work can be found here.

11/2019 The work by Yangbo Wu on fabrication of a mid-infrared antenna enhanced microbolometer on silicon has been published in ACS Photonics. The work was led by Milos Nedeljkovic and Goran Mashanovich in the Silicon Photonics group.

10/2019 Welcome to MPhys project students Ana Hammer,  Callum Lancaster, Callum Wheeler,  Daniel Smyth, Hiroki Cook,  Jacob Kleboe, and Luke Burke, who are working on projects in nano-bio, laser ablation, lidar and picosecond spectroscopy.

10/2019  Daniel Lawson has started his PhD research on phase change nanophotonics. We also welcome new PGRs Vikesh Sethi and Peng Dai, both working in the group of Ruomeng Huang in ECS on thermoelectrics.

09/2019 The work by Peter Wiecha on evolutionary design of directional plasmonic antennas has appeared in in Optics Express.

08/2019  Senior membership of OSA was awarded to Prof. Otto Muskens.

07/2019 Our work on deep learning neural networks for speckle-based hyperspectral imaging in multimode fibres has appeared in Optics Express.

03/2019 The work by Angela de Fazio on nanoparticle-DNA hybrid supercrystals and their reversible ligation using UV-irradiation has appeared in ACS Nano. The work is a collaboration with the LICNA group and Oleg Gang at Brookhaven National Laboratory and is supported by Dstl.

02/2019 A visit by Dr Wan Maryam from Universiti Sains Malaysia, sponsored by a GRCF seedcorn project, has resulted in a publication in Journal of Applied Physics on ZnO nanowire random lasers.

01/2019 The team welcomes PhD student Doxi Misatziou and postdoctoral researchers Idris Ajia, Haobijam Johnson Singh, Kai Sun, and Peter Wiecha.

01/2019 Rebecca French has successfully defended her PhD exam on the development of a speckle spectrometer.

News in 2018

11/2018   Results on hyperspectral imaging using a multi-core, multimode fibre, by Rebecca French have been published in Optics Express. This Dstl UK-France PhD project was done in collaboration with the group of Sylvain Gigan at ENS, Paris.

10/2018   The team welcomes MPhys students Zoe, Daniel, Daniel, Alexander, Jesse, and Jack who have started their final year research projects in the group on new topics in lidar, bio-nanoscience, new nanomaterials, and photonic circuits.

09/2018   Real-time trimming of silicon photonic circuits has been demonstrated by Bigeng Chen, in collaboration with the Silicon Photonics group, and is published in Optics Express.

09/2018   Zeina Nazer has started a new PhD research project on new applications of lidar in transport.

07/2018   Collaborative research with the LICNA and Hybrid Photonics groups has resulted in a publication revealing the photophysics of dye-sensitized upconversion nanoparticles.

06/2018   Our new article in Nature Communications brings together theory and experiments for wafer-scale testing of photonic chips. The collaboration with Kevin Vynck and Philippe Lalanne at LP2N in Bordeaux is supported by a Royal Society International Exchanges grant.

06/2018   Results from our joint BBSRC project on mRNA detection of zinc deficiency in crops have been published in ACS Nano.

06/2018   The team welcomes Daniel Lawson, Jack Haines and Jesse Garcia Dykes who are doing their summer projects in the group.

05/2018   Congratulations to Rebecca French who is receiving the WiSET award for her exceptional contributions to raise the profile and participation of women in science & technology.

04/2018   The Meta-Reflector project has resulted in a publication on the development of VO2 Smart Optical Solar Reflectors for Space. The work was published in ACS Photonics.

02/2018   Maria-Eleni Kyriazi's work on development of new tools for multiplexed mRNA sensing and combinatorial delivery of drugs has been published in ACS Nano. The project was led by the Laboratory for Inorganic Colloidal Nanocrystals and Applications (LICNA).

01/2018   Maria-Eleni Kyriazi won the first prize for the best presentation at the SPIE Photonics West 2018 international conference.

News in 2017

12/2017 Our article on photon-plasmon hybridization of antennas on silicon photonic chips has appeared in Nano Letters.

11/2017 Our work on meta-surface optical solar reflectors using metal oxides has appeared in ACS Photonics. The work is a result from the Horizon Space 2020 project META-REFLECTOR.

10/2017 Our team has contributed a chapter on single-antenna nonlinear spectroscopy in the Handbook of Metamaterials and Plasmonics edited by Stefan Maier and Javier Aizpurua.

09/2017 The team welcomes Zach Pang and Daniel Collins who are doing their MPhys research project in our laboratory.

07/2017  The Complex Nanophotonics Science Camp took place on 25th-28th of July 2017. Over 60 early career academics, research fellows and students discussed topics in an informal setting of the Cumberland Lodge in the middle of Windsor Park.

04/2017   Hyperspectral imaging using speckles and compressive sensing was demonstrated by Rebecca French in Optics Letters. The work was done in collaboration with Prof. Sylvain Gigan at the LKB-ENS in Paris and is supported by a DSTL UK-France PhD studentship.

04/2017   Christoph Riedel's work on combined electrical and optical simulations of nanoantenna transistor devices has been published in Optics Express.

02/2017 The work of Patrick Vilela on detection of mRNA markers for Altzheimer's disease and prostate cancer was published in ACS Sensors

01/2017 Together with Peter Wiecha and Arnaud Arbouet from Toulouse, we present combined numerical and experimental work on polarisation conversion antennas in Scientific Reports.

News in 2016

12/2016 The year has been successful with Simon Gregory, Daniel Traviss and Leo-Jay Black getting their PhD degrees.

10/2016 Otto Muskens is the Debye visiting professor for the year 2016 in the Debye Institute at the University of Utrecht. He is working with Allard Mosk and the nanoLINX group on experiments with light in scattering media and transmission matrices.

10/2016 The group wecomes six new members. Nic Dinsdale, Bigeng Chen, Matthew Delaney, Lewis Piper, Wei Xiao, and Vincent Guigoz have started their projects.

10/2016 Press release 'Nanoantenna lightning-rod effect produces fast optical switches' appeared in many news sites including Physics World, AZO Nano, The Engineer, New Electronics

06/2016 Our work demonstrating antenna assisted picosecond control of antenna-VO2 hybrids has appeared online in Light: Science & Applications

04/2016 The integrated spatial light modulator has been well received in the press: Phys.orgOptics.orgOptics & Photonics NewsEE Times.

04/2016 Roman Bruck's experimental demonstration of ultrafast routing of light for reconfigurable silicon photonics has resulted in a publication in Optica.

01/2016 The Horizon 2020 project METAREFLECTOR aims at developing a radically new technology to produce Optical Solar Reflectors (OSRs) and to govern the thermo-optical properties of the interface between the spacecraft and the space environment. The Southampton team collaborates with Consorzio CREO, NILT technologies and Thales-Alenia space.

01/2016 The joint project between Southampton and Surrey by PhD student Andre Uttgenant has resulted in a publication on infrared-assisted assembly of hybrid plasmonic-photonic crystals appearing in ACS Nano.

News in 2015

10/2015 The collaborative project with Arnaud Arbouet in Toulouse on second harmonic generation in single plasmonic nanoantennas has resulted in a publication in ACS Photonics.

09/2015 Our publication investigating the mode structure of high-index semiconductor nanowires was published in Optics Express.

08/2015 The Complex Nanophotonics Science Camp 2.0 was a great success. Over 50 early career researchers, along with several invited senior speakers and panelists mixed in the stimulating setting of the Cumberland Lodge.

05/2015 Extremely compact ITO metamaterials are presented in our latest publication appearing in ACS Photonics .

05/2015 We have shown continuous tuning over the entire free spectral range of ring resonators, results appearing in Optics Express.

03/2015 Our collaborative work with Antonios Kanaras and Tim Millar on synergistic effects of laser irradiation and biological activity of gold nanoparticles in angiogenesis has appeared in Biomaterials Science.

02/2015 DNA biosensors exploiting the quenching of upconversion nanoparticles by graphene oxide, in a collaboration with the groups of Antonios Kanaras and Jorge Rubio-Retama.

01/2015 The work by Roman Bruck on ultrafast photomodulation spectroscopy has appeared in Nature Photonics, see here for a press release.

News in 2024